πͺ DragModel
Drag ModelsΒΆ
API Documentation
The drag subsystem models aerodynamic resistance via Ballistic Coefficients that reference standard drag tables (G1, G7, etc.), or custom Machβ\(C_d\) pairs.
DragModel: Single-BC scaling of a reference drag table; optional weight/diameter/length for spin-drift calculations.BCPoint+DragModelMultiBC(...): Interpolate BC across velocity/Mach to better match measured data.- Helpers: [
make_data_points][py_ballisticcalc.drag_model.make_data_points], [sectional_density][py_ballisticcalc.drag_model.sectional_density], [linear_interpolation][py_ballisticcalc.drag_model.linear_interpolation].
Use with Ammo(dm=DragModel(...)) to parameterize the projectile.
Standard ModelsΒΆ
API Documentation
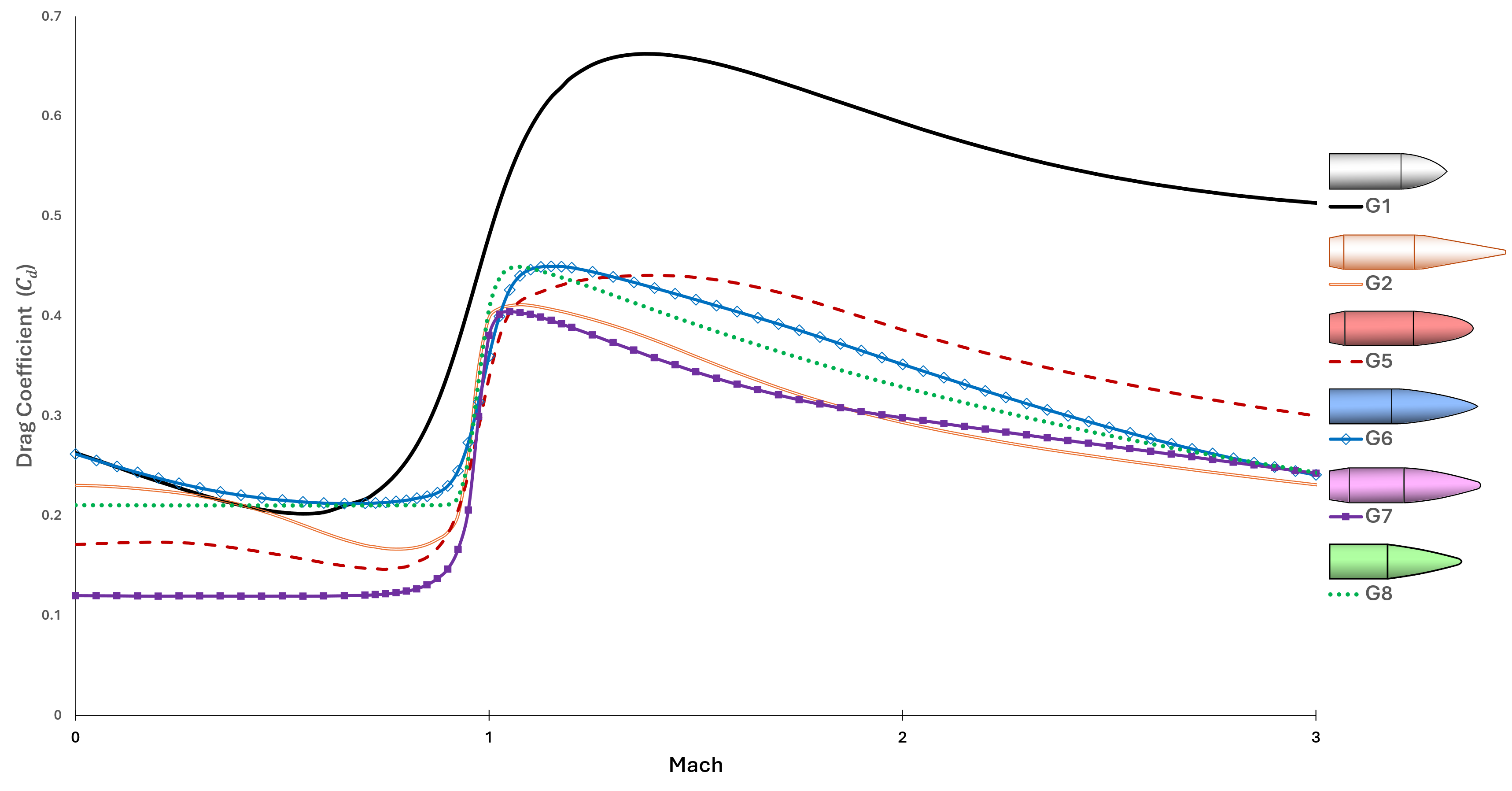
Standard TablesΒΆ
TableG1: Flat-base bullet (most common sporting ammunition)TableG7: Boat-tail, spitzer (long-range match bullets)TableG2: Conical, banded, boat-tail artillery projectileTableG5: Round-nose, boat-tailTableG6: Flat-base, spire-pointTableG8: Flat-base, 10 caliber secant ogiveTableGI: Ingalls G1TableGS: 9/16" smooth sphereTableRA4: .22LR 40gr
Standard Projectile ProfilesΒΆ

Standard Drag CurvesΒΆ
